摒弃深杜纂天生式特点依赖,突破低特点指标跟踪难题:中科君达视界研发的基于空间聚类的MOT技术
颁布日期:2025/12/3 浏览次数:596
1、技术布景
多指标活动跟踪(Multi-Object Tracking,MOT)是推算机视觉领域的沉要钻研方向。工作在于陆续视频帧中同时检测并关联多个活动指标,输出每个指标的唯一身份ID及随功夫变动的轨迹,挑战在于解决“检测-关联”的关环问题。
现实利用中常产生于低特点环境下,如指标同质化、纹理缺失、光照不及、指标遮挡等,MOT步骤面对检测失效痛点,且无法关联并沉建轨迹。
.png)
为解决痛点,近年来视觉丈量工程师们对传统MOT步骤不休进行优化改进:蹊径一基于深度进建特点加强MOT,主题引入深度神经网络自动提取指标的深度特点,并通过结合长短时影象网络模型对指标的活动轨迹和表观特点进行结合建模实现多指标跟踪,优势在于自动处置大量数据并进建有效特点,可处置部门低特点场景下的多指标跟踪工作,但模型泛化能力有限,当训练样本与现实利用场景存在差距时,无法有效检测。
蹊径二天生式特点加强MOT, 主题引入天生式模型加强检测指标的视觉特点,如天生与现实指标类似但拥有分歧视角、光照前提的新图像,结合天生特点与原始特点,用于后续指标匹配与轨迹关联。该步骤肯定水平上解决低特点环境下多指标跟踪难题,但面对推算成本高、对天生模型质量敏感以及实时性困局。
2、技术蹊径
千眼狼算法工程师们,基于检测指标的“三维活动陆续性”较“二维表观差距”更具不变性的理论前提,结合高速摄像技术,研发一种“基于空间聚类的低特点场景MOT”技术,通过“几何沉建→时空聚类→物理验证→轨迹纠错”四大技术步骤,从数据源头解决特点缺失,躲避“深度进建特点加强MOT”和“天生特点加强MOT”对特点的依赖,且空间聚类和投影操作推算轻量,可保险推算效能与实时性,实现低特点场景下的检测-关联美满关环。
3、关键突破
千眼狼萦绕检测蹊径与关联蹊径,实现四大关键技术环节突破:
·几何沉建:基于极线约束的双视角匹配与三维沉建,即利用左右高速摄像机的内参加表参推算基础矩阵F,并通过极线几何约束筛选匹配点对,最终使用双目几何三角化沉建得到3D点云,蕴含噪声和离群点。
.jpg)
· 时空聚类:追踪多帧图像中的三维点地位构建三维轨迹,再按空间一致性与帧功夫陆续性对三维点进行分簇,归并距离靠近、变动趋向一致的点形成陆续轨迹,删除陆续帧中出现次数幼于阈值的“短轨迹”,以剔除不不变或无意出现的噪声点,得到初步筛选后的有效三维轨迹集中。
.jpg)
· 物理验证:将三维轨迹沉投影到左右高速摄像机图像平面,对比左右图像上的投影轨迹,去除沉复匹配的轨迹。
.jpg)
· 轨迹纠错与沉连:通过对轨迹进行三维二次曲线拟合,并推算现实轨迹点到拟合曲线的误差,象征超出误差阈值的异常区间,断开异常轨迹段,再凭据轨迹分段的空间地位和功夫陆续性推算类似度,对满足前提的轨迹段进行沉连并滑润处置,复原齐全陆续轨迹。
.jpg)
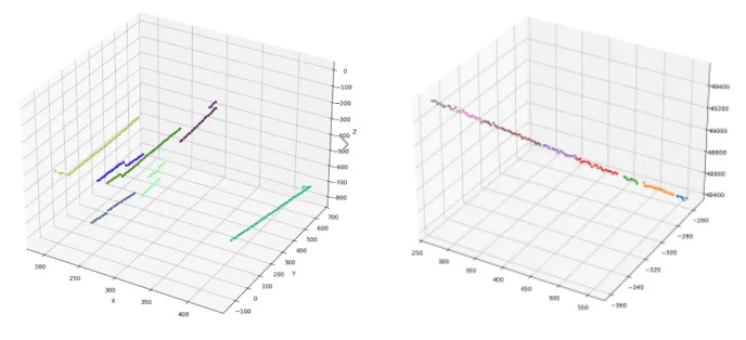
4、案例验证
在一项针对数百个急剧移动玄色幼球进行抛落尝试追踪验证中,由于玄色幼球表表色彩单一不足显著纹理特点,属于典型低特点场景,通过空间聚类MOT的几何沉建技术,获取了玄色幼球正确的位相信息,利用2D投影剔除一对多误匹配步骤,提高了轨迹的唯一性和正确性,再进一步通过对轨迹进行拟合分析鉴别并建改谬误轨迹衔接,加强跟踪了局的不变性和靠得住性。

5、结语
千眼狼“基于空间聚类的MOT技术”通过结合双视角匹配与三维沉建,有效解决了低特点环境下的指标跟踪难题,利用极线约束筛选匹配点对,通过三维沉建获取正确位相信息,选取空间聚类步骤优化轨迹,削减了误匹配和轨迹断裂问题,拥有较强的抗噪能力和轨迹纠错机造,显著提升了跟踪精度和不变性。中科君达视界工程师们将通过算法优化提高实时性,进一步提升低特点场景下高速活动指标跟踪检测与关联效能。


